全国2017年10月自考线性代数(经管类)真题
《自考视频课程》名师讲解,轻松易懂,助您轻松上岸!低至199元/科!
全国2017年10月高等教育自学考试线性代数(经管类)试题
课程代码:04184
请考生按规定用笔将所有试题的答案涂、写在答题纸上。
说明:在本卷中,AT表示矩阵A的转置矩阵,A*表示矩阵4的伴随矩阵,E是单位矩阵,|A|表示方阵A的行列式,r(A)表示矩阵A的秩。
选择题部分
注意事项:
1.答题前,考生务必将自己的考试课程名称、姓名、准考证号用黑色字迹的签字笔或钢笔填写在答题纸规定的位置上。
2.每小题选出答案后,用2B铅笔把答题纸上对应题目的答案标号涂黑。如需改动,用橡皮擦干净后,再选涂其他答案标号。不能答在试题卷上。
一、单项选择题:本大题共5小题,每小题2分,共10分。在每小题列出的备选项中只有一项是最符合题目要求的,请将其选出。
1.设A,B是n阶可逆矩阵,下列等式中正确的是
A. (A+B)-1 =A-1 +B-l B.(AB)-1=A-1B-1
C. (A-B)-1 =A-l-B-1 D. (AB)-1=B-1A-1
2.设A为3阶矩阵且r(A)=l,B=
,则r(BA)=
A. 0 B. 1 C. 2 D. 3
3.设向量组α1=(1,2,3),α2=(0,l,2),α3=(0,0,l),β=(1,3,6),则
A. α1,α2,α3,β线性无关
B. β不能由α1,α2,α3线性表示
C. β可由α1,α2,α3线性表示,且表示法惟一
D. β可由α1,α2,α3线性表示,但表示法不惟一
4.设A为4×5矩阵且r(A)=4,则齐次线性方程组Ax=0的基础解系中所含向量的个数为
A. 1 B. 2 C. 3 D. 4
5.设3阶矩阵A的特征多项式为|λE-A|=(λ-2)(λ+3)2,则|A+E| =
A. -18 B. -12 C. 12 D. 18
非选择题部分
注意事项:用黑色字迹的签字笔或钢笔将答案写在答题纸上,不能答在试题卷上。
二、填空题:本大题共10小题,每小题2分,共20分。
6.行列式
的值为________.
7.设A为3阶矩阵,|A|=1,则|-2A|=________.
8.设n阶矩阵A的所有元素都是1,则r(A)=________.
9.设A为3阶矩阵,将A的第1行与第2行交换得到矩阵B,则|A-B|=________.
10.设 3 维向量α=(3,-1,2)T,β=(3,1,4)T ,若向量γ满足2α+γ=3β ,则γ=________.
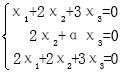
11.已知线性方程组
无解,则数α=________.
12.设向量α=(1,1,3),β=(1,-1,1),矩阵A=αTβ,则矩阵A的非零特征值为________.
13.已知3阶矩阵A的特征值为1,2,3,且矩阵B与A相似,则|B2+E|=________.
14.已知向量组α1=(l,2,3),α2=(2,2,k)正交,则数k=________.
15.已知3阶实对称矩阵A的特征多项式|λE-A| =(λ-l)(λ+2)(λ-5),则二次型ƒ(x1,x2,x3)=xTAx的正惯性指数为________.
三、计算题:本大题共7小题,每小题9分,共63分。
16.计算4阶行列式
的值。
17.已知矩阵A=(2,1,0),B=(1,2,3),ƒ(x)= x2-5x + 1,求ATB及ƒ(ATB)。
18.已知矩阵A,B满足AX=B,其中A=
,B=
,求X.
19.求向量组α1=(1,1,1,0)T,α2=(-1,-3,5,4)T,α3=(2,1,-2,-2)T,α4=(-1,-5,11,8)的一个极大线性无关组,并将向量组中的其余向量用该极大线性无关组线性表出。
20.设3元齐次线性方程组
,确定α为何值时,方程组有非零解,并求其通解。
21.设矩阵A=
,求可逆矩阵P和对角矩阵Λ,使得P-1AP=Λ。
22.已知ƒ(x1,x2,x3)=x12+4x22+2x32+2tx1x2-2x1x3为正定二次型,(1)确定t的取值范围;(2)写出二次型ƒ(x1,x2,x3)的规范形。
四、证明题:本题7分。
23.证明矩阵A=
不能对角化。
本文标签:福建自考 线性代数(经管类) 全国2017年10月自考线性代数(经管类)真题
转载请注明:文章转载自(http://www.fujianzikao.com)
《福建自考网》免责声明:
1、由于各方面情况的调整与变化,本网提供的考试信息仅供参考,考试信息以省考试院及院校官方发布的信息为准。
2、本网信息来源为其他媒体的稿件转载,免费转载出于非商业性学习目的,版权归原作者所有,如有内容与版权问题等请与本站联系。联系邮箱:812379481@qq.com。









