全国2015年10月自考高等数学一真题
《自考视频课程》名师讲解,轻松易懂,助您轻松上岸!低至199元/科!
2015年10月自考高等数学一真题及答案


2015年10月自考高等数学一真题及答案,本试卷总分100分,考试时间150分钟。
一、单项选择题
本大题共l0小题,每小题3分,共30分。在每小题列出的备选项中只有一项是最符合题目要求的,请将其选出。
1.方程x2-3x+2=0的根为()
A.x1=1,x2=2
B.x1=-1,x2=2
C.x1=1,x2=-2
D.x1=-1,x2=-1
2.设函数f(x+2)= x2,则f(x)=()
A.x2-2
B.(x-2)2
C.x2+2
D.(x+2)2
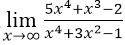
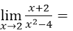
3.极限
()
A.-2
B.0
C.2
D.∞
4.函数
的所有间断点是()
A.x=0
B.x=-1
C.x=0,x=1
D.x=-1,x=1
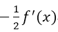
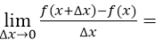
5.设函数f(x)可导,则极限
()
A.![]()
B.![]()
C.2f'(x)
D.-2f'(x)
6.曲线 y=sinx在点(0,0)处的切线方程是()
A.y=x
B.y=-x
C.![]()
D.![]()
7.设函数f(x)可导,且f'(x0)=0 ,则f(x)在x=x0处()
A.一定有极大值
B.一定有极小值
C.不一定有极值
D.一定没有极值
8.曲线y=x3—3x2+2的拐点为()
A.(0,1)
B.(1,O)
C.(0,2)
D.(2,O)
9.不定积分
()
A.secx+C
B.secx+x+C
C.tanx+C
D.tanx+x+C
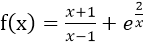
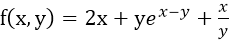
10.设函数
,则f(2,1)=()
A.6+e
B.![]()
C.4+e
D.![]()
二、简单计算题
本大题共5小题,每小题4分,共20分。
11.判断函数
的奇偶性。
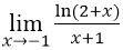
12.求极限
。
13.求函数f(x)=sinx(2x2+3) 的导数f'(x) 。
14.求极限
。
15.求函数z=x2+y2-3x-5y-2的全微分dz 。
三、计算题
本大题共5小题,每小题5分,共25分。
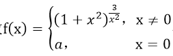
21.确定常数 a的值,使得函数
在x=0处连续。
22.已知某商品的价格函数为P(Q)=200-0.O1 Q(元/件),其中Q为销售量(件)。 (1)求总收益函数R(Q); (2)求Q=50时的边际收益。
23.求函数f(x)=x3-3x+5的单调区间。
24.设函数
,求导数
。
25.求微分方程
的通解。
四、简答题
综合题本大题共4小题,共25分。
31.设工厂生产Q吨某产品的总成本函数为
(万元)。(1) 求平均成本函数
;(2)问产量为多少时平均成本最低?并求最低平均成本。
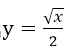
32.设曲线
与直线x=l及x轴所围成的平面图形为D。(1)求D的面积A:(2)求D绕x轴一周的旋转体体积 。
33.求不定积分
。
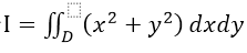
34.计算二重积分
,其中D是由直线x=1、y=1及x轴、y轴所围成的平面区域。
本文标签:福建自考 高等数学(一) 全国2015年10月自考高等数学一真题
转载请注明:文章转载自(http://www.fujianzikao.com)
《福建自考网》免责声明:
1、由于各方面情况的调整与变化,本网提供的考试信息仅供参考,考试信息以省考试院及院校官方发布的信息为准。
2、本网信息来源为其他媒体的稿件转载,免费转载出于非商业性学习目的,版权归原作者所有,如有内容与版权问题等请与本站联系。联系邮箱:812379481@qq.com。









